PDF문서안덕환 외_단파장 자외선 조사를 통한 열화견 제작과 적용성 평 -잿물 처리에 의한 유용 여부를 중심으로-.pdf

닫기

background image

233

단파장 자외선 조사를 통한 열화견 제작과 
적용성 평가*

28

잿물 처리에 의한 유용 여부를 중심으로

안덕환**

이상현***

목차
I. 서론
II. 실험 조건
 1. 공시재료
 2. 실험 방법과 조건
 3. 실험 분석
III. 실험 결과 및 고찰
 1. 열화견의 물리적 특성
 2. 열화견의 보존처리 적용성 평가
IV. 결론

국문초록

열화견은 화견을 인공적으로 열화한 것으로 노화한 견본 문화재 보존을 위한 기

초적인 재료이다. 새 화견으로 오래된 작품을 보강할 시 기존 바탕재와 강도 차이가 

발생하며 결국 유물에 또 다른 손상을 입힌다. 또한 새 화견은 질기고 억세기 때문

에 결실부 형태에 맞춘 성형이 어렵다. 적절한 물성을 갖는 열화견 제작과 이를 위

한 기술 연구는 회화문화재 보존에서 오랜 과제이다.

*

본 논문은 서울대학교 규장각 한국학연구원에서 진행한 

<2020년 지류회화문화재수리

복원을 위한 전통재료 연구개발 사업

> 실적의 일부를 논문 형식으로 재구성한 것이다.

** 한국전통문화대학교 문화유산전문대학원 문화재수리기술학과 석사과정 수료

.

*** 한국전통문화대학교 문화유산전문대학원 문화재수리기술학과 교수

.


background image

 제28호

234

 본 연구는 화견에 자외선을 조사하는 방식의 열화견 제작 방법을 확장하려는 시

도이다. 화견에 단파장 자외선을 조사하는 방법을 통해서 열화견을 제작하였다. 동

시에 자외선 조사 이전에 짧은 시간 상온의 잿물에 화견을 침적하여 비교 대상을 두

었다. 잿물이 띤 알칼리성이 생견의 세리신을 파괴하면서 자외선 인공 열화에 필요

한 시간을 줄여주는 데 유용할 것으로 추측했다. 잿물 처리하여 단파장 자외선을 조

사한 열화견과 처리하지 않은 열화견의 물성을 비교하고, 제작한 열화견이 보존처

리 재료로써 적합한지 평가하였다.

 결과를 분석한 바, 잿물 처리한 뒤 단파장 자외선을 조사하여 제작한 열화견은 

미처리 열화견보다 동일한 조사 시간에서 강도 약화 효과를 더 빠르게 얻을 수 있었

다. 잿물 처리한 화견은 미처리 화견과 자외선 조사 시 유사한 황변 수치를 보여 색

상 측면에서 불이익을 주지 않았다. 열화견의 성형과 채색 용이성을 판단해본 결과 

제작한 열화견은 보존처리 작업에서 사용하기 적합할 것으로 평가하였다.

주제어

: 열화견, 단파장 자외선, 잿물, 보존처리, 견본회화문화재


background image

단파장 자외선 조사를 통한 열화견 제작과 적용성 평가

235

I. 서론

열화견(劣化絹)은 화견(畵絹)을 인공적으로 열화한 것으로 노화된 견본

회화 문화재를 복원하기 위한 기초 재료이다. 견본회화는 소장과 세전

(世傳)

 과정에서 경화와 꺾임, 바스러짐, 그리고 충해 등에 의한 손상을 

입는다. 견본회화 복원 작업에서 큰 틀은 잃어버린 부분을 새로운 화견

으로 메워주는 작업(補絹)이라고 할 수 있다. 

새로 직조한 화견은 이미 손상되고 열화한 기존 회화의 바탕재보다 

강도가 훨씬 강할 수밖에 없다. 족자(簇子)나 권축(卷軸)과 같은, 즉 말아

서 보관하는 장황형태를 지닌 견본회화에서 새로이 메워 자리 잡은 부

분과 기존 회화 부분에서 발생하는 강도 차이는 결국 회화에게 또 다른 

손상을 주는 결과를 가져온다. 또한 새 화견은 질기고 튼튼하기 때문에 

회화의 잃어버린 부분에 맞춘 성형(成形) 작업이 쉽지 않아 세밀한 처리

가 어렵다. 복원 부분의 새 화견과 오래된 작품 사이에서 나타나는 질감 

차이 역시 보존뿐만 아니라 감상을 목적으로 하는 회화문화재에서 치명

적이다. 원본과 시각적으로 유사하고 적절한 물성을 갖는 열화견 제작

과 이를 위한 기술 연구는 회화문화재 보존에서 오랜 과제이기도 하다.

화견에 인공열화를 수행하여 열화견을 제작하려는 시도는 일본에서 

연구가 시작되었으며, 그 역사가 오래되었다.

1

 현재 일본에서는 전자

1

일본은 열화견 확보와 보존처리 적용을 위한 오랜 기간의 연구 성과가 축적되어 있다

. 열

화견에 관련된 연구를 진행함에 국내 연구에서도 이를 참고하고 있다

. 이하의 연구 실적

이 참고 된다

.

樋口淸治

·西浦忠輝, 「国宝修理装潢師連盟, 電子線による補修用絹の劣化促進処理」, 東京國立


background image

 제28호

236

선(γ선)을 조사(照射)하여 제작한 열화견을 회화 보존처리에서 사용하고 

있다. 국내에서는 오준석 외 2인이 장파장 자외선(UV-A)과 단파장 자외

선(UV-C)을 조사하여 제작한 열화견의 물성 비교 및 회화 보존처리에 

적합 여부를 판단하는 연구를 진행하였다.

2

 정민희는 단파장 자외선을 

조사하여 만든 열화견의 물성 비교를 연구하였다.

3

 회화는 아니지만, 

견직물로 구성된 복식 유물 복원을 위해서 알칼리 수용액을 사용한 견

직물 열화 방법이나,

4

 제논 램프(Xenon Arc)를 사용한 광열화를 사용한 

방식도 연구된 바 있다.

5

인공 열화로 만든 화견은 제작 방법마다 나름의 장점과 단점이 있고 

현재 국내 문화재 보존 현장에서 접근하기 쉬운 방법은 단파장 자외선 

조사 열화이다.

6

 단파장 자외선을 방출하는 살균 램프 챔버(Chamber)는 

文化財硏究所 編

, 뺷表具の科学뺸, 東京, 東京國立文化財硏究所, 1977, pp.160~163.

川野辺涉 

, 「紫外線劣化絹の修復材料のへ応用の可能性」, 뺷保存科学뺸 35, 東京, 東京文化財研

究所

, 1996, pp.40~41.

佐野千絵 

, 「電子線劣化など各種劣化促進処理など補修用絹の劣化機構に関する考察」, 뺷保存

科学

, 40, 東京, 東京文化財研究所, 2001, pp.1~3.

佐野千絵

· 増田勝彦,  「絹纖維の放射線劣化による美術工芸品の補修材料の開発」,  뺷纖維と工

, 57券4号, 纖維學會, 2001, p.8.

2

오준석외

, 「견본 회화보존처리에 자외선 인공열화견의 적용성 평가」. 뺷보존과학회지뺸

27권2호, 문화재보존과학회, 2011.

3

정민희

, 「회화유물 보존처리를 위한 보견용 열화견 연구」, 명지대학교 석사학위 논문, 

2020.

4

전초현 외

, 「유물 복원을 위한 실크 직물의 알칼리에 의한 열화 특성 연구」, 뺷한국염색가

공학회지뺸

17권4호, 한국염색가공학회, 2005, 41~47쪽.

5

이학정 외

, 「견직물의 광열화 거동」, 뺷한국염색가공학회지뺸 18권6호, 한국염색가공학

, 2006, 37~42쪽.

6

전자선을 사용한 열화 방식은 투과가 가능한 강력한 에너지를 통해 다량의 화견을 빠르
게 열화할 수 있다는 장점이 있으나

, 원자력을 다루는 유관기관과의 협조가 필요한 상황

이다

(일본은 이를 高崎量子應用硏究所를 통해서 해결하고 있다). 장파장 자외선 조사

를 이용한 열화는 화견의 열화 양상이 자연 노화와 유사하다는 이점이 있으나

, 다량의 램


background image

단파장 자외선 조사를 통한 열화견 제작과 적용성 평가

237

구조가 간단하고 저렴하며 제작과 사용이 편리하다. 열화에 소요되는 

시간이 짧아 보존처리 대상 회화에 즉각적으로 대응할 수 있다. 단파장 

자외선 열화 방법의 저변을 넓히고 관련 연구의 방향을 다각화하는 작

업은 보존처리 현장에서 유용하게 사용될 수 있다. 다양한 강도를 갖춘 

열화견이 공급되지 못하고, 화견을 현장 자체에서 가공해야하는 상황

에서 인공 열화에 대한 연구 및 결과 축적은 작업현장의 시간과 노력을 

덜어줄 수 있다.

이 연구는 화견에 단파장 자외선을 조사하는 방식으로 열화견을 제

작하였다. 이와 동시에 자외선 조사 이전에 짧은 시간 동안 상온의 잿물

(Lye)

에 화견을 침적하는 방식으로 비교 대상을 삼았다. 잿물이 띤 알칼

리성이 생견의 세리신(Sericin)을 파괴하고 자외선 인공 열화에 필요한 조

사 시간을 줄여주는 데 도움을 줄 수 있을 것으로 추측했기 때문이다.

7

 

잿물은 지류와 직물 염색 과정에서 매염제로써 과거로부터 널리 사용되

고 있다. 고온의 잿물 수용액은 견직물을 정련하는 작업에서도 활용된

다. 회화문화재 보존처리를 위한 재료 가공에서도 그러한 쓰임은 동일

하며, 실험에 사용하기에 안전한 알칼리성 수용액이라고 판단하였다.

프를 갖춘 챔버에서 긴 시간

(800시간 이상)을 조사해야하므로 회화 보존처리 현장에서 

즉각적으로 복원 재료를 확보하기 어렵다는 단점이 있다

. 각 열화 방식에 의해 제작된 열

화견의 물성 역시 차이를 보이나 구체적 서설에 대해서는 오준석외

, 앞의 글, 192쪽을 참

고하기 바란다

.

7

일반적으로 견직물의 정련에는 주로 비누와 같은 약 알칼리성 용액을 온도를 높여 사용
하며

, 정련을 통해 견직물의 세리신이 제거된다. (김문식ㆍ김용학, 「견의정련방법에관

한 연구

(1)」, 뺷한국염색가공학회지뺸 18권3호, 한국염색가공학회, 2006, 136~137쪽.) 세

리신을 완전히 제거하는 것은 아니더라도

(세리신을 제거할 시 생견의 느낌이 바뀌어버

릴 수 있음

) 일부 파괴하는 데 도움을 줄 것으로 가정하여 본 연구에서는 저온의 잿물을 

사용하였다


background image

 제28호

238

언급하였듯이 각각의 열화견 제작 방법에는 장점과 단점이 있다. 단

파장 자외선 조사 방식의 단점은 조사 시간이 길어질수록 화견이 어두

운 황색으로 변한다는 것이다. 또한 단파장 자외선 조사 방식은 인공 

열화에 의한 강도 약화가 급격하게 이루어져서 복원에서 필요한 물성

을 가진 화견을 얻기 위해서 새 화견을 사용한 여러 번의 열화 시도가 

필요할 수 있다. 황변(黃變)을 억제하면서도 열화 시간을 줄일 수 있는 

방법이 필요한 까닭이다. 제작한 열화견이 갖춘 물리적 특성을 비교하

고, 견본회화의 보존처리 작업에서 사용하기 적합한지 평가하였다.

II. 실험 조건

1. 공시재료

(1) 화견

단파장 자외선을 조사하는 화견 규격은 섬도 경사 42 데니어(Denier)

8

 

위사 140 데니어로 구성된 기계직 화견이다. 경사 2올에 위사 1올이 교

차되어 있는 평직 구조를 갖고 있다. 화견의 밀도는 1cm2당 위사 40올, 

경사 30올이다.  화견으로 제작한 각각의 시편 크기는 경사방향으로 
10cm, 위사방향으로 5cm이다.

8

섬유나 실의 굵기 정도를 나타내는 단위로 

1 데니어는 9000m의 길이의 섬유 무게가 1g

인 섬유의 굵기를 뜻한다


background image

단파장 자외선 조사를 통한 열화견 제작과 적용성 평가

239

<그림 1> 자외선 조사 챔버

<그림 2> 챔버에 시편 삽입

(2) 잿물

비교 대상 화견을 침적할 잿물은 고춧대를 태워서 나온 잿가루(Ash)

를 증류수에 넣어 산성도(pH)가 10 ~ 11을 띠게 만들었다. 침적 실험에 

사용할 알칼리 용액은 잿가루를 72시간 동안 가라앉히고 나온 웃물만

을 걸러서 사용하였다.

2. 실험 방법과 조건

(1) 자외선 램프 조사 조건

자외선 램프는 단파장 자외선(UV-C) 램프(SUNKYUNG G30T8, 30W)를 사

용하였다. 해당 램프는 253.7nm 파장의 자외선을 방출하며, 측정된 자

외선의 강도는 3.0에서 3.3mW/cm2이다(Lutron YK-37UVSD). 자외선 조사 

시 램프가 부착되어 있는 챔버 내부 온도는 45~50℃이며, 습도는 40% 

미만을 유지하였다. 자외선 조사 시간은 최장 240시간이었으며, 24ㆍ72

120ㆍ168ㆍ240시간을 조사하였다. 연속 조사 시 램프 과열에 의한 

성능 저하를 우려하여 조사 시간은 24시간 단위로 진행하면서 광량 계


background image

 제28호

240

<그림 3> 화견 침적과 건조

<그림 4> 잿물 침적 전

(左)과 30분 침적 후(右) 화견 직조 구조

측 및 램프 냉각 시간을 두었다. 또한 24시간을 기준으로 하여 조사되

는 화견을 뒤집어서 화견 양면에 자외선이 닿을 수 있게 실험하였다.

(2) 잿물 침적 조건

비교 실험을 위한 시편을 제작하고자 알칼리 성분을 띤 잿물에 화견

을 침적하였으며 침적 시간은 5분과 30분으로 나누어서 진행하였다. 

침적 시 잿물의 온도는 상온 20℃를 유지하였으며 침적 시 화견의 흔들

림을 최소화하여 처리하였다. 화견을 침적시킨 잿물의 온도가 높거나, 

침적 시간이 길어진다면 화견의 직조 구조가 흔들려서 화견이 주는 육


background image

단파장 자외선 조사를 통한 열화견 제작과 적용성 평가

241

안상 느낌이 변할 수 있기 때문이다. 5분과 30분 동안 담가놓았던 화견

을 수세하지 않은 상태로 온도 20℃ 습도 45 ~ 50%의 공간에서 24시간 

동안 널어서 건조했으며, 동일한 온·습도 환경에서 전처리한 미처리 

화견과 함께 단파장 자외선 조사 챔버에 집어넣었다.

3. 실험 분석

(1) 열화견의 물성 분석

설정한 방법과 조건으로 자외선을 조사하여 얻은 열화견을 백금으

로 증착시킨 후, 주사전자현미경(SEM-EDS, Carl Zeiss, SUPRA 55VP, Germany)

을 이용하여 진공 상태에서 표면(섬유 측면)을 관찰하였다. 다음으로 열

화 실험을 통해 약화된 화견의 물성을 파악하고자 인장강도 시험을 진

행하였다. 인장강도 시험을 위해 시편을 경사 3cm, 위사 1cm의 직사각

형 형태로 성형한 뒤 온도 20℃, 습도 45%의 환경에서 24시간 동안 전

처리하였다. 해당 시편을 만능시험기(LLOYD, GB/LRX+PLUS 0.5ton)를 사

용하여 파지거리 1cm, 크로스헤드(Cross Head) 속도 50mm/min의 조건

으로 측정하였다. 이에 더하여, 화견에 자외선을 조사한 뒤 나타나는 

직물 황변 정도를 수치화하였다. 실험으로 얻은 열화견 표면 다섯 지점

의 CIE L*, a*, b* 수치 및 삼자극치(Tristimulus values; X, Y, Z)를 색차계

(Minolta, CR-400)

로 측정하여 평균을 낸 후 황변지수(Yellowness Index)

9를 

도출하였다.

9

황변지수

(YI; ASTM D 1925)의 도출 수식은 다음과 같다. 황변지수=(128X-106Z)/Y 


background image

 제28호

242

<그림 5> 인장강도 시험기

<그림 6> 열화견 표면 색차 측정

(2) 열화견의 유용성 평가

실험으로 제작한 열화견이 견본회화의 복원 및 보존처리 작업에서 

사용하기에 적합한지 판단하기 위해 유용성 평가를 진행하였다. 평가 

방법은 오준석 외(2011)에서 제시한 방법을 따랐다. 첫 번째 방법으로는 

열화견을 회화 보존처리 시 사용하는 예리한 스칼펠(Scalpel)로 절단해

보면서 열화견에 손쉬운 성형 작업이 가능한지 파악하였다. 두 번째로 

열화견이 색맞춤(補彩)이나 염색 작업에서 사용할 때, 색상을 화견 표면

에 올리기에 용이한지 판단했다. 열화견을 소맥전분풀과 닥지를 이용

하여 배접하고 건조판에 부착한 뒤, 아교와 명반으로 만든 교반수액으

로 도포하는 방식을 취하였다. 부착된 화견 위에 세필로 먹을 채색하여 

안료가 스며드는 정도를 평가하였다. 


background image

단파장 자외선 조사를 통한 열화견 제작과 적용성 평가

243

III. 실험 결과 및 고찰

1. 열화견의 물리적 특성

(1) 열화견의 표면 특성

잿물에 침적한 화견과 침적하지 않은 화견의 표면을 주사전자현미

경으로 관찰하였다. 관찰한 결과를 촬영하였으며 화견의 표면은 <그림 
7>과 같다. 여러 줄의 생사 섬유가 보이는 미처리 화견에 비해 잿물에 

침적시켰던 화견은 생사를 구성하는 각 섬유가 평탄해져 구분이 어려

워졌고,  적은 부분이지만 일부에서 세리신 층이 벗겨져 피브로인

(Fibroin)

 층이 노출된 것이 관찰된다. 이는 자외선 조사 시 상온의 알칼

리 처리로도 열화 효과를 가속화하는 데 도움을 줄 수 있을 것으로 판단

된다. 관찰 결과 24시간 동안 단파장 자외선을 조사한 잿물 처리 열화

견에서는 섬유 가로 방향의 크랙(Crack)이 일부 보여 미약하지만 미처리 

열화견보다 조금 더 빠르게 세리신 층이 부서지고 있음을 확인할 수 있

었다.

120시간 단파장 자외선 조사 시에는 잿물 처리 및 미처리 화견에서 

모두 세리신 층의 박락과 섬유 절단 현상이 관찰되며, 섬유를 가로지르

는 크랙이 나타난다. 240시간 조사 후 관찰 역시 잿물 처리 화견 및 미

처리 화견 모두 세리신 층의 박락이 나타나 잿물 침적으로 얻을 수 있

는 열화 가속 효과는 조사 시간이 길어짐에 따라 줄어드는 것으로 추정

된다.


background image

 제28호

244

미처리 미조사 

✕ 2000

30분 침적 미조사 

✕ 2000

미처리 UV-C 24시간 조사 

✕ 2000

30분 침적 UV-C 24시간 조사 

✕ 2000

미처리 UV-C 120시간 조사 

✕ 2000

30분 침적 UV-C 120시간 조사 

✕ 2000

미처리 UV-C 240시간 조사 

✕ 2000

30분 침적 UV-C 240시간 조사 

✕ 2000

<그림 7> 주사전자현미경으로 관찰한 화견의 표면


background image

단파장 자외선 조사를 통한 열화견 제작과 적용성 평가

245

0시간

24시간

72시간

120시간

168시간

240시간

미처리

37.60 N

(100%)

8.36 N

(22.23%)

4.50 N

(11.97%)

3.54 N

(9.41%)

2.85 N

(7.58%)

2.03 N

(5.40%)

5분

38.25 N

(100%)

6.81 N

(17.80%)

3.56 N

(9.31%)

2.56 N

(6.69%)

2.16 N

(5.65%)

1.74 N

(4.55%)

30분

39.15 N

(100%)

6.82 N

(17.42%)

3.53 N

(9.02%)

2.51 N

(6.41%)

1.80 N

(4.60%)

1.73 N

(4.42%)

<표 1> 인장강도 시험 결과

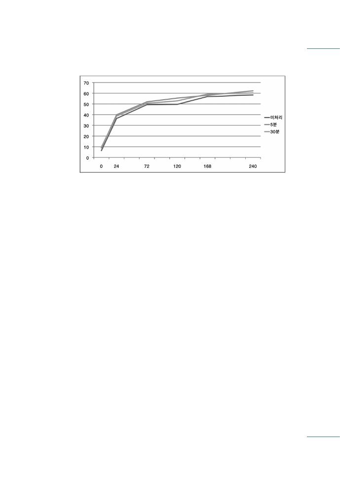
<그림 8> 열화견의 인장강도 시험 결과

(2) 열화견의 인장강도

견본회화를 복원하고 보존처리하기 위해서는 해당 견본회화가 지닌 

강도와 유사한 강도를 갖고 있는 복원 재료가 필요하다. 열화견의 제작

은 복원 작업에서 적합한 강도를 지닌 화견을 확보하는 것이 1차 목적

이므로, 제작한 열화견을 성형하여 인장강도 시험을 진행하였다. 시험

은 미처리 화견, 5분 간 잿물에 침적한 화견, 그리고 30분 간 잿물에 침

적한 화견을 다시 조사 시간별로 구분하여 진행하였으며, 조건별 3회 

시행하여 평균값을 도출하였다.


background image

 제28호

246

단파장 자외선 조사로 제작한 열화견에 대한 인장강도 측정 결과 열

화 이전(0시간)과 이후(24시간)에서 극명하게 인장강도가 떨어졌다. 24시

간 열화 시 미처리 화견의 강도는 원래 강도의 22% 수준으로 약해졌으

며, 잿물로 처리한 화견은 17% 수준으로 약화되어 약간이지만 미처리 

화견 보다 더 열화했음을 확인할 수 있었다. 240시간 자외선 조사 후에

는 원래 화견 물성의 5%(미처리) ~ 4%(잿물 처리) 내외 수준으로 약해졌

다. 단파장 자외선 조사 24시간까지는 화견에서 급격한 물성 약화가 이

루어졌으며 이후에는 완만한 약화 양상을 보인다.

잿물에 담가 처리한 시편은 자외선 조사 이전에 미처리 화견보다 인

장강도가 소폭 높은데, 이는 인장 시험에서 발생한 오차이거나 수분에 

의해 일시적으로 신도가 증가했기 때문으로 보인다. 단파장 자외선 조

사 이후 잿물 처리 시편은 동일 조사 시간에서 그렇지 않은 시편에 비

해 강도가 더 떨어진 것을 확인할 수 있었으나, 자외선 조사 시간이 길

어지면 잿물 처리 여부가 물성 약화에 미치는 영향이 줄어들었다. 잿물 

처리 시간인 5분과 30분 사이에서 나타나는 차이는 미미했다. 

(3) 열화견의 색상

견직물은 자외선에 의한 황변이 쉽게 일어나며, 견에 황변을 일으키

는 자외선의 파장은 200~331nm으로 알려져 있다.

10

 이는 본 실험에 사

용한 단파장 자외선(253.7nm) 램프를 화견에 조사했을 때 필연적으로 

10 瀬戸山幸一

,  「絹の黄変に関する研究  III.  黄変に及ぼす水の影響と黄変絹のアミノ酸組成の変

. 뺷日本蚕糸学雑誌뺸, 45, 日本蚕糸学会, 1976, 351~357쪽; 오준석 외, 앞의 글, 195쪽에서 

재인용

.


background image

단파장 자외선 조사를 통한 열화견 제작과 적용성 평가

247

색차 및 삼자극치

황변지수

사진

0시간

미처리

L*

a*

b*

6.42

62.42

-0.14

2.32

X

Y

Z

30.28

30.91

34.69

5분

L*

a*

b*

8.95

63.10

-0.27

3.37

X

Y

Z

-0.31

31.15

34.70

30분

L*

a*

b*

9.65

62.68

-0.28

3.62

X

Y

Z

30.50

31.18

33.99

24시간

미처리

L*

a*

b*

36.40

59.21

-2.05

14.99

X

Y

Z

26.44

27.48

22.49

5분

L*

a*

b*

39.84

59.72

-2.11

16.64

X

Y

Z

26.80

26.80

21.89

30분

L*

a*

b*

38.67

59.24

-2.10

16.00

X

Y

Z

26.26

27.30

21.75

72시간

미처리

L*

a*

b*

49.31

58.01

-1.41

20.29

X

Y

Z

25.14

25.98

18.27

5분

L*

a*

b*

51.94

58.03

-1.28

21.48

X

Y

Z

-1.28

25.20

17.69

30분

L*

a*

b*

50.68

58.51

-1.43

21.08

X

Y

Z

25.66

26.51

18.31

120시간

미처리

L*

a*

b*

49.58

57.70

-1.24

20.24

X

Y

Z

24.86

25.65

18.02

<표 2> 색차 측정 결과 및 황변지수 비교

황변 현상이 동반된다는 것을 의미한다. 열화견에 나타나는 황변은 견

본회화의 복원을 위한 색맞춤 및 재료 염색 작업에서 장애물이 될 수 

있다. 열화 가속 효과를 얻기 위해 진행한 잿물 처리가 단파장 자외선 

조사를 통한 열화견 제작 시 황변에 영향을 미치는 지 확인하였다.


background image

 제28호

248

색차 및 삼자극치

황변지수

사진

5분

L*

a*

b*

55.45

56.70

-0.78

22.58

X

Y

Z

23.97

24.63

16.06

30분

L*

a*

b*

52.82

57.50

-0.93

21.61

X

Y

Z

24.73

 25.45 

17.18

168시간

미처리

L*

a*

b*

56.92

56.27

-0.50 

22.97

X

Y

Z

23.61

24.19

15.52

5분

L*

a*

b*

58.10

55.66

-0.29

23.23

X

Y

Z

23.06

23.58

14.92

30분

L*

a*

b*

59.21

56.06

-0.33

23.93

X

Y

Z

23.45

23.98

14.92

240시간

미처리

L*

a*

b*

58.39

55.50

-0.05

23.17

X

Y

Z

22.97

23.43

14.83

5분

L*

a*

b*

62.27

55.07

0.33

24.59

X

Y

Z

22.64

23.01

13.82

30분

L*

a*

b*

60.27

55.31

-0.03

23.85

X

Y

Z

22.80

23.24

14.22

<그림 9> 열화견의 채도 b* 값 


background image

단파장 자외선 조사를 통한 열화견 제작과 적용성 평가

249

<그림 10> 열화견의 황변지수

단파장 자외선 조사 시 명도(Brightness)인 L* 수치는 63.22에서 최저 

55.31로 낮아졌고, 황색(Yellow)을 나타내는 b* 값은 0시간에서 2.32인 

수치가 240시간 조사했을 때 23.17까지 높아져 화견이 어두운 황색으

로 변하고 있는 것을 확인했다.  24시간 조사만으로도 크게 b*  수치

(14.99)

가 상승한 것이 관찰되며, 72시간 조사 이후에는 완만한 상승 곡

선을 나타내는 것으로 보아 단파장 자외선 조사 초기 화견에서 급격하

게 황변이 일어났다는 것을 확인하였다. 

황변지수는 미처리 제작 열화견의 경우 열화 이전 6.42에서 조사 후 

62.27의 수치를 보이는데, 지수 상에서 약 10배 정도로 황변이 진행된 

것이다. 단파장 자외선 조사 24시간 안에서 급격한 황변이 일어나며 그 

뒤로는 정도가 완만해졌다. 잿물로 처리한 시편은 미처리 시편에 비해 

황변지수가 높은 편이었으나, 그 차이는 미미하다고 여겨질 수 있을 정

도이다. b* 값의 차이에서도 오차 범위 안에서의 수치인 것으로 판단된

다. 잿물 처리 시간 사이에서의 차이 역시 유의미하다고 보기 어렵다. 


background image

 제28호

250

(4) 잿물 처리가 열화견의 물리적 특성에 미치는 영향

물리적 특성 분석 결과 잿물 처리한 뒤 단파장 자외선을 조사하여 제

작한 열화견은 미처리 열화견보다 동일한 조사 시간 대비했을 때 미미

하지만 빠르게 강도 약화 효과를 얻을 수 있는 것으로 보인다. 잿물 처

리가 황변에 영향을 미친다고 보기 어렵다는 결과와 결합한다면 열화 

가속효과를 얻는 데에 유용한 지점이 있을 것으로 판단된다. 그러나 자

외선 조사 시간이 길어질수록 가속 효과라는 이점을 얻기엔 비효율적

일 것이며, 급격히 강도가 약화되는 24시간 내외의 열화견 제작에서 도

움이 될 수 있을 것이다.

2. 열화견의 보존처리 적용성 평가

(1) 색상과 직조 형태 관찰

육안 관찰로 열화견의 색상과 직조 형태의 변화 여부를 관찰하였다. 

앞에서 언급했듯이 견본회화 복원 작업에서 사용하는 열화견은 복원 

대상 회화 바탕재가 갖고 있는 직조 구조와 유사해야한다. 이에 더하여 

색맞춤과 염색 작업에 사용할 수 있도록 과도한 황변이 일어나는 것을 

지양해야 한다. 제작한 열화견의 황변과 표면 건조 정도, 수축, 직조 구

조 변화, 가장자리 찢김, 그리고 (Tyrosine 등의 방향족 아미노산으로 인한) 냄

새 등을 확인할 수 있었다.

잿물 처리한 화견과 미처리한 화견 사이에서 외관상으로 두드러진 

차이는 나타나지 않았다. 동일 시간 자외선 조사 조건에서 열화로 인해 


background image

단파장 자외선 조사를 통한 열화견 제작과 적용성 평가

251

0시간

24시간

72시간

120시간

168시간

240시간

미처리

5분

30분

✕ : 

성형 어려움; Tough  : 성형 가능함; Normal  : 성형 쉬움; Brittle

<표 3> 조사 시간 및 처리 여부에 따른 성형 용이성 평가

0시간

24시간

72시간 120시간 168시간 240시간

미처리

5분 침적

30분 침적

색상과 표면을 비교하며 파악하기 용이하도록 크롭(Crop) 편집한 이미지임

<그림 11> 단파장 조사 열화견의 표면과 색상

변화한 색상이 주는 느낌이 비슷하여 침적 처리 여부를 구분하기 어려

웠다. 공통적으로 조사 시간이 길어질수록 가장자리 부분이 쉽게 찢겨

졌고 표면이 건조하다는 느낌을 주었다. 덧붙여 120시간을 초과하여 

조사한 시편 표면에서는 건조로 인해 발생한 약한 정도의 수축을 관찰

할 수 있었다.

(2) 제작한 열화견의 성형 용이성 평가

견본회화 결손 부분은 일반적으로 복잡한 형태를 갖고 있으며 열화

하지 않은 생견은 강도가 억세서 성형이 쉽지 않다. 회화 복원 재료로

써 열화견은 칼 등의 도구로 쉽게 끊어 내거나 깎아내어 용이한 성형이 


background image

 제28호

252

가능해야한다. 이를 위해 회화 보존처리 작업에서 사용하는 예리한 스

칼펠로 제작한 열화견에 경사방향으로 그어보면서 열화견의 성형 용

이성을 확인하고, 잿물 처리한 화견과 미처리 화견을 비교해보았다.

자외선 조사 이전에는 잿물 처리 및 미처리하여 제작한 열화견 모두 

쉽게 절단되지 않았다. 절단을 위해 힘을 가하며 스칼펠을 내리 그을 

때 화견의 올이 움직이며 구조가 뒤틀리는 등 용이한 성형이 이루어진

다고 볼 수 없었다. 그러나 열화 이후에는 전 조건에서 스칼펠을 내리 

그을 때 칼날이 미끄러지듯 나아가며 섬유가 끊어지는 느낌을 받았다. 

정도의 차이는 있었으나 전 조건에서 용이한 성형이 가능하였으며 조

사 시간이 길어질수록 섬유 파열이 심하게 느껴졌다. 다만 168시간 및 
240시간 조사한 화견은 성형을 위해 화견을 파지하는 과정에서 화견이 

바스러지는 현상(특히 240시간 조사 시편)을 관찰하여, 자외선 조사 시간

이 길어질수록 더욱 세밀한 수작업이 필요할 것으로 보인다.

잿물 처리한 화견의 경우 24시간 조사 단계에서 미처리한 화견보다 

섬유가 조금 더 쉽게 끊어지는 느낌을 받았으나 크게 차이가 느껴지지 

않았다. 자외선 조사 시간이 길어질수록 절단 작업에서 처리 여부의 차

이를 체감할 수 없었다. 실험을 통해 획득한 열화견은 모두 보존처리 

작업에서 용이한 성형 작업이 가능할 것으로 판단된다. 

(3) 제작한 열화견의 채색 용이성 평가

회화 작품의 결손 부분을 복원한 부분에는 새로운 재료가 줄 수 있는 

위화감을 줄이고, 복원된 작품을 감상하는 사람이 편안한 느낌을 받을 


background image

단파장 자외선 조사를 통한 열화견 제작과 적용성 평가

253

x50

0시간

24시간

72시간

120시간

168시간

240시간

미처리

5분

30분

<표 4> 조사 시간 및 처리 여부에 따른 채색 용이성 평가

수 있도록 색맞춤 작업이 이루어진다. 이는 곧 열화견이 갖춰야할 조건

에는 채색 작업이 용이해야 함을 뜻한다. 잿물로 침적한 후 단파장 자

외선 조사 방법으로 제작한 열화견의 안료 채색 용이성 및 화견에 흡수

되는 정도를 파악하고, 미처리한 열화견과 비교해보았다. 

시편을 소맥전분풀을 사용하여 회화문화재 수복용 닥지(신현세 한지 2

≒평량 13g/m2)

로 두 번 배접하고 건조판에 붙여서 24시간 이상 건조시

켰다. 이후 증류수 600g : 막대아교(牛膠 사용함) 12g : 명반 1g 비율로 만

든 교반수액

11을 화견 표면에 2회 도포하여 반수(Sizing) 처리를 한 뒤, 

진한 농도의 먹을 세필 붓으로 그어 도포해보았다. 도포한 먹이 마른 

후에 휴대용 디지털 현미경(Scalar DG3-X, Japan)을 사용하여 표면을 확대 

관찰하였다. 촬영은 그은 먹선 중간 부분을 진행하여 선을 그을 때의 

첫 힘과 선을 뗄 때 힘이 빠지는 부분은 관찰에서 제외하였다.

11

도포한 교반수액의 농도에 관해서는 이상현

, 뺷문화재 보존과 기법-회화/지류편뺸, 소와

, 2014, 118~119쪽 참고.


background image

 제28호

254

<그림 12> 성형 용이성 평가를 위한 시편 절단

<그림 13> 채색 용이성 평가를 위한 반수 처리

24시간 조사 대상 이후로 화견에 그어진 먹선에서 가로 방향으로 난 

균열이 발견되며, 72시간 조사 이후에는 먹이 그은 선 바깥으로 퍼지는 

현상이 관찰되었다. 조사 시간이 120시간을 넘긴 화견은 잿물 처리 여

부와 상관없이 먹의 흡수가 더 잘 일어났다. 이는 단파장 자외선 조사

가 길어짐으로써 발생한 화견 표면의 크랙 및 공극 부분에 안료가 스며

들었기 때문으로 판단된다. 

잿물 처리한 화견은 선 가장자리로 퍼지는 먹이 미처리한 화견보다 

더 많이 발견되는데, 그은 먹이 부분에 고여 있지 않고 측면으로 흡수

되어 이동하였다는 의미이다. 사용할 안료의 종류나 사이징 처리의 방

법과 횟수, 그리고 작업자의 채색 방법과 경험에 따라 달라질 수 있겠

지만, 단파장 자외선 조사로 제작한 열화견은 잿물 처리 시 안료의 흡

수가 더욱 용이하여 채색 작업에서 편리할 것으로 생각한다. 


background image

단파장 자외선 조사를 통한 열화견 제작과 적용성 평가

255

IV. 결론

단파장 자외선을 조사하는 방식을 사용하여 열화견을 제작해보았으

며, 동시에 상온의 잿물에 침적한 화견에 단파장 자외선을 조사함으로

써 화견 열화 효과를 더 빠르게 얻을 수 있는지 비교하였다. 잿물 처리 

화견과 미처리 화견 간의 비교, 그리고 각각의 시편이 단파장 조사 시

간에 따라 어떠한 변화가 일어나는지 관찰하였다. 실험으로 획득한 열

화견의 물리적 특성을 비교해보면서 보존처리 작업에서 적용할 수 있

는 유용성을 평가하였다. 

상온의 잿물 처리 후 화견에 단파장 자외선을 조사하여 얻은 열화견

은 미처리 화견으로 제작한 열화견보다 동일 시간을 조사했을 때 더 강

도가 약한 것으로 나타났다. 잿물 처리와 미처리 화견은 단파장 자외선 

조사 초기인 24시간 조사에서 인장강도 격차가 가장 크게 나타났고, 조

사 시간이 길어질수록 그 격차가 줄어들었다. 이는 24시간 안팎의 짧은 

시간을 소모하는 열화견 제작 시도에서 자외선 조사 이전 잿물로 처리

할 시 열화 속도 가속이라는 이점을 얻을 수 있다는 점을 의미한다. 미

처리 화견과 비교했을 시 황변 현상에서도 큰 차이가 없다는 결과도 잿

물 처리가 열화견 제작과 실제 사용에서 방해가 되지 않는다는 점을 시

사한다.

제작한 열화견의 유용성을 평가하였을 때, 실제 보존처리 작업에서 

사용하기에 적합할 것이라 판단된다. 열화견에 서화 보존처리용 도구

를 이용하며 진행한 성형 용이성의 평가는 인장강도의 하락세를 따라 


background image

 제28호

256

조사 시간이 길어질수록 편리한 작업이 이루어질 것으로 보인다. 보존

처리 작업자의 역량과 경험에 의해 좌우될 수 있겠지만, 제작한 열화견

으로 회화 보존처리 시 복원 부분에 진행하는 색맞춤 작업에서도 용이

한 작업이 가능할 것이다. 잿물 처리 후 제작한 열화견과 미처리 열화

견을 적용성 측면에서 비교했을 때에는 차이를 체감하기 어려웠다. 

잿물 처리로 얻는 가속효과는 한계가 있으나, 자외선 조사 시간을 조

금이라도 줄일 수 있는 방법으로서는 참고할 수 있는 수준으로 판단한

다. 단파장 자외선을 조사하는 시간이 길어질수록 화견에는 황변현상

이 동반된다. 또한 열화에 의한 강도 저하가 시간에 따라 일정하지 않

고 급격하기 때문에 보존처리 현장에서 필요한 강도를 지닌 화견을 얻

기 위해서 반복적이고 지난한 인공 열화 시도가 요구될 수 있다. 자외

선 조사 시간을 줄이면서도 강도를 저하시킬 수 있는 열화 방법을 탐구

하는 작업이 계속해서 필요하다. 단파장 자외선 조사는 회화문화재 수

리 현장에서 가장 손쉽게 실행할 수 있는 열화견 제작 방법이기에 방법

의 저변을 넓히는 연구는 그 자체만으로도 실용적인 작업이 될 수 있다

고 기대한다. 


background image

단파장 자외선 조사를 통한 열화견 제작과 적용성 평가

257

참고문헌

김문식

· 김용학, 「견의 정련 방법에 관한 연구(1)」, 뺷한국염색가공학회지뺸 18권3호, 

한국염색가공학회

, 2006.

오준석 외

, 「견본 회화보존처리에 자외선 인공열화견의 적용성 평가」, 뺷보존과학회지뺸

27권2호, 한국문화재보존과학회, 2011.

이상현

, 뺷문화재 보존과 기법-회화/지류편뺸, 소와당, 2014.

이학정 외

, 「견직물의 광열화 거동」, 뺷한국염색가공학회지뺸 18권6호, 한국염색가공학

, 2006.

정민희

, 「회화유물 보존처리를 위한 보견용 열화견 연구」, 명지대학교 석사학위 논문, 

2020.

전초현 외

, 「유물 복원을 위한 실크 직물의 알칼리에 의한 열화 특성 연구」,뺷한국염색가

공학회지뺸

17권4호, 한국염색가공학회, 2005.

東京国立文化財研究所 編

, 뺷表具の科学 : 特別研究報告書뺸, 東京, 東京国立文化財研究

, 1977.

佐野千絵

·増田勝彦, 「絹纖維の放射線劣化による美術工芸品の補修材料の開発」,뺷纖維と

工業

, 57券4号, 纖維學會, 2001.

佐野千絵 

, 「電子線劣化など各種劣化促進処理など補修用絹の劣化機構に関する考察」, 

뺷保存科学뺸

40, 東京, 東京文化財研究所, 2001.

川野辺涉 

, 「紫外線劣化絹の修復材料のへ応用の可能性」, 뺷保存科学뺸 35, 東京, 東京

文化財研究所

, 1996.


background image

 제28호

258

Abstract

Manufacture of Deteriorated Silk and Estimation of Application 
through Ultraviolet-C Irradiation
Focusing on the Usefulness of Lye Treatment

Ahn Deokhwan Master's Completion, Dept. of Heritage Conservation and Restoration, Graduate School of 

Cultural Heritage, Korea National University of Cultural Heritage

Lee, Sanghyun Professor, Dept. of Heritage Conservation and Restoration, Graduate School of Cultural 

Heritage, Korea National University of Cultural Heritage

Deteriorated silk, which results from an artificial deterioration of silk, is used as a ba-

sic material for preserving the cultural properties of aging silk paintings. When reinforc-

ing old paintings on the silk with a newly woven silk, the strength of the new material 

differs from that of the existing base material, eventually resulting in the damage of the 

relics. In addition, new silk is tougher and stronger, and therefore trimming it to the 

shape of the lost painting part is difficult. Thus, the production of deteriorated silk with 

appropriate properties is essential for preserving the cultural properties of paintings.

The aim of the present study is to extend the method of producing deteriorated silk 

by using an irradiation treatment with ultraviolet rays. Deteriorated silk is produced by 

irradiating silk with ultraviolet-C. Moreover, before irradiation, the silk is immersed in 

lye at room temperature for a short time to be compared with irradiated silk. The as-

sumption is that the lye alkalinity would be useful in reducing the irradiation time re-

quired for the artificial deterioration of silk by the destruction of sericin in it through ul-

traviolet rays. The physical properties of the irradiated deteriorated silk were compared 

with those of the untreated deteriorated silk. Moreover, the suitability of the manufac-

tured deteriorated silk for use as a preservation material for paintings was evaluated.

Analysis of the experimental results revealed that for a given irradiation time, deter-

iorated silk produced via the irradiation of ultraviolet-C rays after an immersion treat-

ment can yield a faster strength weakening effect than the untreated deteriorated silk. 

The yellowness index of the irradiated lysed silk was similar to that of the untreated silk, 


background image

단파장 자외선 조사를 통한 열화견 제작과 적용성 평가

259

suggesting that irradiation had little effect on the color of the material. An evaluation 

considering the ease of trimming and coloring of the obtained deteriorated silk in-

dicated that this material would be suitable for use in preservation treatment work.

Keyword : Deteriorated Silk, Ultraviolet-C, Lye, Conservation, Silk Painting Cul-
tural Property

논문 투고일 : 2021.09.18 심사 완료일 : 2021.11.16 게재 확정일 : 2021.11.16